平成24年(2012) ばいじん・粉じん特論
選択肢の下の『ラジオボタン』で回答を選んで『解答する』ボタンを押してください。
解答・解説が表示され、正解回数がカウントされます。
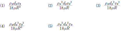
問3
遠心力集じんにおいて,半径位置
における球形粒子の遠心力による外方向への遠心沈降速度の表現式として,正しいものはどれか。
ここで,
は粒子の密度,
は粒子径,?
は円周方向粒子速度,
はガスの粘
度である。

平成24年 正解回数
ばいじん・粉じん特論
| 問1 | 問2 | 問3 | 問4 | 問5 | 問6 | 問7 | 問8 | 問9 | 問10 |
|---|---|---|---|---|---|---|---|---|---|
| 0 | 0 | 0 | 0 | 0 | 0 | 0 | 0 | 0 | 0 |
| 問11 | 問12 | 問13 | 問14 | 問15 | |||||
| 0 | 0 | 0 | 0 | 0 |
