平成27年(2015) 大規模大気特論
選択肢の下の『ラジオボタン』で回答を選んで『解答する』ボタンを押してください。
解答・解説が表示され、正解回数がカウントされます。
問2
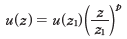
風速のべき乗則は以下の式で表される。
ここで,
,
はそれぞれ求めたい高度
と基準高度
の風速(m/s)であり,べき数
は大気の熱的安定度によって変わる。 東京都心,冬季の夜間の,晴天でパスキルの大気安定度がFのとき,基準高度5m における風速が3m/s であった。
の値が下表に従う場合,高度50m の風速(m/s)はおよそいくらか。

(なお,100.07= 1.2,100.10= 1.3,100.15= 1.4,100.20= 1.6,100.25= 1.8,
100.35= 2.2,100.40= 2.5,100.55= 3.5,100.60= 4 とする。)
(1) 3.6 (2) 4.8 (3) 6.6 (4) 7.5 (5) 12
平成27年 正解回数
大規模大気特論
| 問1 | 問2 | 問3 | 問4 | 問5 | 問6 | 問7 | 問8 | 問9 | 問10 |
|---|---|---|---|---|---|---|---|---|---|
| 0 | 0 | 0 | 0 | 0 | 0 | 0 | 0 | 0 | 0 |
