平成29年(2017) ばいじん・粉じん特論
選択肢の下の『ラジオボタン』で回答を選んで『解答する』ボタンを押してください。
解答・解説が表示され、正解回数がカウントされます。
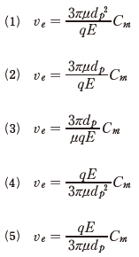
問4
電気集じん装置内で,クーロン力とガスの粘性力が釣り合う際の粒子の移動速度
を示す式として,正しいものはどれか。ただし,
は粒子の帯電量,
は電界強度,
はガスの粘度,
は粒子径,
はカニンガムの補正係数である。

平成29年 正解回数
ばいじん・粉じん特論
| 問1 | 問2 | 問3 | 問4 | 問5 | 問6 | 問7 | 問8 | 問9 | 問10 |
|---|---|---|---|---|---|---|---|---|---|
| 0 | 0 | 0 | 0 | 0 | 0 | 0 | 0 | 0 | 0 |
| 問11 | 問12 | 問13 | 問14 | 問15 | |||||
| 0 | 0 | 0 | 0 | 0 |
