平成29年(2017) 大規模大気特論
選択肢の下の『ラジオボタン』で回答を選んで『解答する』ボタンを押してください。
解答・解説が表示され、正解回数がカウントされます。
問4
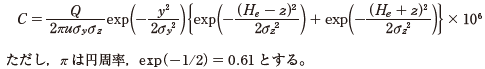
有効煙突高さ
=100m,排出量
=1m3/s の煙源がある。風下方向にx軸,横風方向にy軸,高さ方向にz軸をとった場合,濃度
(ppm)は以下の正規型プルーム拡散式で与えられる。風速
=2.6 m/s,水平拡散幅
=150m,鉛直拡散幅
=100m のとき,煙流中心軸直下の地上濃度
(ppm)はおよそいくらか。

(1)0.05 (2)0.1 (3)5 (4)10 (5)500
平成29年 正解回数
大規模大気特論
| 問1 | 問2 | 問3 | 問4 | 問5 | 問6 | 問7 | 問8 | 問9 | 問10 |
|---|---|---|---|---|---|---|---|---|---|
| 0 | 0 | 0 | 0 | 0 | 0 | 0 | 0 | 0 | 0 |
