平成30年(2018) 大気有害物質特論
選択肢の下の『ラジオボタン』で回答を選んで『解答する』ボタンを押してください。
解答・解説が表示され、正解回数がカウントされます。
問4
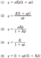
ガス吸着における吸着等温線を表すラングミュアーの式として,正しいものはどれか。
ただし,
はガス分圧(Pa),
は
と平衡な吸着量(kg/kg)であり,
とK は定数とする。

平成30年 正解回数
大気有害物質特論
| 問1 | 問2 | 問3 | 問4 | 問5 | 問6 | 問7 | 問8 | 問9 | 問10 |
|---|---|---|---|---|---|---|---|---|---|
| 0 | 0 | 0 | 0 | 0 | 0 | 0 | 0 | 0 | 0 |
