令和01年(2019) ばいじん・粉じん特論
選択肢の下の『ラジオボタン』で回答を選んで『解答する』ボタンを押してください。
解答・解説が表示され、正解回数がカウントされます。
問3
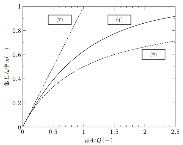
図は,流通形式集じん装置内の流動状態が異なる場合について,その集じん率ηとwA/Q の関係を表している。装置内の流動状態の記述として,(ア)~(ウ)の
の中に挿入すべき語句の組合せとして,正しいものはどれか。
ただし,w:粒子の分離速度,A:装置の全集じん面積,Q:処理ガス流量,とする。
(A) 気流が乱流で,装置内すべてにおいてダスト濃度が均一
(B) 気流が乱流で,流れ方向断面においてダスト濃度が均一
(C) 気流が層流

(ア) (イ) (ウ)
(1) (A) (B) (C)
(2) (A) (C) (B)
(3) (B) (C) (A)
(4) (C) (A) (B)
(5) (C) (B) (A)
令和01年 正解回数
ばいじん・粉じん特論
| 問1 | 問2 | 問3 | 問4 | 問5 | 問6 | 問7 | 問8 | 問9 | 問10 |
|---|---|---|---|---|---|---|---|---|---|
| 0 | 0 | 0 | 0 | 0 | 0 | 0 | 0 | 0 | 0 |
| 問11 | 問12 | 問13 | 問14 | 問15 | |||||
| 0 | 0 | 0 | 0 | 0 |
