令和03年(2021) ばいじん・粉じん特論
選択肢の下の『ラジオボタン』で回答を選んで『解答する』ボタンを押してください。
解答・解説が表示され、正解回数がカウントされます。
問3
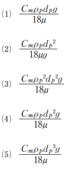
重力集じんにおける粒子の移動速度を表す式として,正しいものはどれか。なお,Cm はカニンガムの補正係数(-),ρp は粒子密度(kg/m3),dp は粒子径(m),g は重力加速度(m/s2),μはガスの粘度(Pa・s)である。

令和03年 正解回数
ばいじん・粉じん特論
| 問1 | 問2 | 問3 | 問4 | 問5 | 問6 | 問7 | 問8 | 問9 | 問10 |
|---|---|---|---|---|---|---|---|---|---|
| 0 | 0 | 0 | 0 | 0 | 0 | 0 | 0 | 0 | 0 |
| 問11 | 問12 | 問13 | 問14 | 問15 | |||||
| 0 | 0 | 0 | 0 | 0 |
